「熊果苷」,还能用?
摘要:欧盟在2022年3月25日发布了了化妆品中α-熊果苷和β-熊果苷的安全性意见,意见中提到无法确定化妆品中熊果苷的安全浓度。意见发出后,“熊果苷能不能用?”成为了一个热点议题!

欧盟在2022年3月25日发布了了化妆品中α-熊果苷和β-熊果苷的安全性意见,意见中提到无法确定化妆品中熊果苷的安全浓度。意见发出后,“熊果苷能不能用?”成为了一个热点议题!
「熊果苷」之所以不能确定其安全浓度,最重要的原因是:熊果苷存在风险物质-氢醌,欧盟之前禁用脱氧熊果苷也是因为其释放氢醌的缘故。
一、熊果苷是啥?
熊果苷是一种具有生物活性的亲水多酚,具有两种异构体,包括α-熊果苷(4-羟基苯基-α-吡喃葡萄糖苷)和β-熊果苷(4-羟基苯基-β-吡喃葡萄糖苷)。《已使用化妆品原料目录(2021年版)》里面提到的熊果苷有两种:α-熊果苷和熊果苷(β-熊果苷)。

熊果苷为啥能美白呢?通过上面这张图就能看到熊果苷和氢醌的结构,实际上熊果苷就是氢醌的衍生物。
二、熊果苷使用过程有短板吗?
a.熊果苷风险物质氢醌控制
熊果苷的风险物质就是氢醌,氢醌的控制质量一定程度上决定了原料的品质,挑选一个好的供应商很重要。
b.原料的稳定性
从以往的开发经历上看,添加了熊果苷的产品很容易出现变色问题,长期试验留样1年产品肯定会出现变色,如何改善原料的稳定性也是开发的重点?可以考虑原料的包裹处理、纳米乳等方式都能提高原料稳定性。
d.皮肤微生物导致其发生水解

从实验结果上,熊果苷水解活性可能与皮肤菌群存在相关性,如果产品微生物出现问题的话,也会出现水解,但从文献上看,还没有得到十分明确的结论。
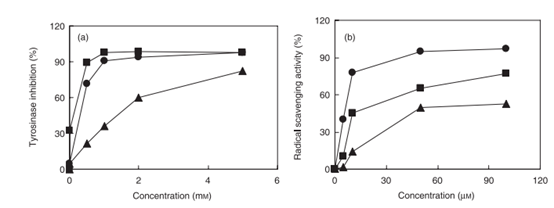
四、熊果苷的作用机制

从机制上看,熊果苷抑制黑色素产生是两个路径:一是抑制络氨酸酶活性,另一个是抗氧化。

从结果上看,不同浓度内a-熊果苷与络氨酸酶抑制率、抗氧化效率呈现正相关性。从效果和效率上讲,我个人更倾向使用α-熊果苷。
五、α-熊果苷的作用

至于α-熊果苷的作用很多,在开发过程中,要注意解决其稳定性问题,氢醌类衍生物的稳定性都会面临这种问题。
在开发过程中,平衡产品的有效性、刺激性和稳定性问题,一般会控制α-熊果苷的的添加量,确保物尽其用。
总之,在现阶段的数据支持下,我认为控制使用浓度的「熊果苷」能放心使用。
参考文献:
[1]Seo-Hyun Bang, Sang-Jun Han, Dong-Hyun Kim.Hydrolysis of arbutin to hydroquinone by human skin bacteria and its effect on antioxidant activity [J].Journal of Cosmetic Dermatology, 2008(7):189–193.
[2]Majid Saeedi,Khadijeh Khezri,Abbas Seyed Zakaryaei,Hassan Mohammadamini.A comprehensive review of the therapeutic potential of α-arbutin[J].Phytotherapy Research. 2021;1–19.http://www.xianpuruisi.com/
